数据结构与算法之二叉树的遍历

摘要

本文详细介绍了二叉树的遍历方法,包括前序、中序和后序遍历,分别通过递归和非递归方式实现,并分析了每种方法的代码逻辑和内存消耗。文章还介绍了使用栈和Morris遍历优化空间复杂度的实现方式,适用于LeetCode相关题目。通过图文结合和代码示例,帮助读者理解二叉树遍历的核心思想和实现细节。



遍历二叉树的作用

基于二叉树的结构, 衍生出了二叉查找树/平衡二叉查找树/堆等等结构或算法(这些之后会讲), 学会如何遍历一颗二叉树是学习此类"派生二叉树"的基础.

二叉树的遍历

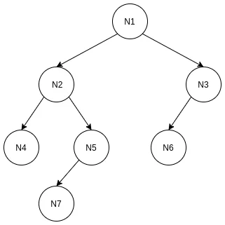
我们先来看一颗一般的二叉树. 然后根据不同的遍历方式, 看看这颗二叉树结点最终遍历的顺序.

https://cdn.jsdelivr.net/gh/caibingcheng/caibingcheng.github.io@assets/static/images/62b87f31e9cae.webp
二叉树

前序遍历

前序遍历就是按照先根结点, 再左右子结点的方式去遍历(root -> left -> right).

对一个链式存储的二叉树来说, 代码如下:

 1
 2
 3
 4
 5
 6
 7
 8
 9
10
11
12
13
vector<int> pre;
vector<int> preorderTraversal(TreeNode* root) {
    if (!root)
    {
        return pre;
    }

    pre.push_back(root->val);
    preorderTraversal(root->left);
    preorderTraversal(root->right);

    return pre;
}

我们先跟着代码的逻辑走一遍:

  • N1是根结点, push进队列
1
[N1]
  • 操作N1左子结点N2, N2是N2子树的根结点, push进队列
1
[N1, N2]
  • 操作N2左子结点N4, N4是N4子树的根结点, push进队列
1
[N1, N2, N4]
  • N4没有子结点, 操作N4的父结点N2的右子结点N5, N5是N5子树的根结点, push进队列
1
[N1, N2, N4, N5]
  • 操作N5左子结点N7, N7是N7子树的根结点, push进队列
1
[N1, N2, N4, N5, N7]
  • N7没有子结点, 退回到父结点, 直到发现N1有右子结点N3, N3是N3子树的根结点, push进队列
1
[N1, N2, N4, N5, N7, N3]
  • 操作N3左子结点N6, N6是N6子树的根结点, push进队列, 全部遍历完成
1
[N1, N2, N4, N5, N7, N3, N6]

所以, 最终按照前序遍历的结果是:

1
[N1, N2, N4, N5, N7, N3, N6]

使用递归的编程技巧很容易实现前序遍历的代码, 但是递归有太多的临时变量, 随着递归深度的增加, 消耗的内存也在一直增加; (对二叉树这种结构, 递归还可接受, 递归深度一般是logn, 不过极端情况可以达到n)

如何不使用递归实现前序遍历呢?

非递归方法实现前序遍历

这里, 我参考图遍历中一般会用的两个表, OPEN表和CLOSE表实现二叉树的前序遍历, OPEN表和CLOSE表在图论中会讲到.

 1
 2
 3
 4
 5
 6
 7
 8
 9
10
11
12
13
14
15
16
17
18
19
20
21
22
23
24
25
26
27
28
29
30
31
32
33
34
35
36
37
38
39
40
41
42
43
44
45
46
vector<int> preorderTraversal(TreeNode* root) {
    vector<int> pre;
    if (!root)
    {
        return pre;
    }

    stack<TreeNode *> open;
    vector<TreeNode *> close;

    auto is_visited = [&] (TreeNode * node) -> bool {
        for (const auto cn : close)
        {
            if (cn == node)
            {
                return true;
            }
        }
        return false;
    };

    open.push(root);
    while(!open.empty())
    {
        TreeNode *top = open.top();
        if (!is_visited(top))
        {
            close.emplace_back(top);
            pre.emplace_back(top->val);
        }
        if (top->left && !is_visited(top->left))
        {
            open.push(top->left);
        }
        else if (top->right && !is_visited(top->right))
        {
            open.push(top->right);
        }
        else
        {
            open.pop();
        }
    }

    return pre;
}

open表中存储了待遍历的结点, close表中存储了已经遍历过的结点. 那么上述代码的大致思想是:

  1. 初始化open表, 将root结点push进表;
  2. 如果open表的top元素没有被遍历过(不在close)表, 这储存其值, 并将top结点加入到close表;
  3. 如果open表的top元素的left结点存在且没有被遍历过, 则将left结点push进open表;
  4. 如果3失败, 但是open表的top元素的right结点存在且没有被遍历过, 则将right结点push进open表;
  5. 如果3/4都失败, 则说明子结点不存在或者都被遍历过, 则弹出top元素;

中序遍历

中序遍历就是按照先左子结点, 再根结点, 最后右子结点的方式去遍历(left -> root -> right).

 1
 2
 3
 4
 5
 6
 7
 8
 9
10
11
12
13
vector<int> pre;
vector<int> preorderTraversal(TreeNode* root) {
    if (!root)
    {
        return pre;
    }

    preorderTraversal(root->left);
    pre.push_back(root->val);
    preorderTraversal(root->right);

    return pre;
}

中序遍历可以自行思考遍历的过程, 按照中序遍历的结果是:

1
[N4, N2, N7, N5, N1, N6, N3]

后序遍历

后序遍历就是按照先左右子结点, 再根结点的方式去遍历(left -> right -> root).

 1
 2
 3
 4
 5
 6
 7
 8
 9
10
11
12
13
vector<int> pre;
vector<int> preorderTraversal(TreeNode* root) {
    if (!root)
    {
        return pre;
    }

    preorderTraversal(root->left);
    preorderTraversal(root->right);
    pre.push_back(root->val);

    return pre;
}

后序遍历可以自行思考遍历的过程, 按照后序遍历的结果是:

1
[N4, N7, N5, N2, N6, N3, N1]

二叉树非递归遍历总结

以leetcode题AC作为验证:

前序遍历

 1
 2
 3
 4
 5
 6
 7
 8
 9
10
11
12
13
14
15
16
17
18
19
20
21
22
vector<int> preorderTraversal(TreeNode* root) {
    if (root == nullptr)
        return {};

    vector<int> result;
    stack<TreeNode *> st;
    st.push(root);

    while(!st.empty())
    {
        TreeNode *node = st.top();
        st.pop();

        result.emplace_back(node->val);
        if (node->right)
            st.push(node->right);
        if (node->left)
            st.push(node->left);
    }

    return result;
}

中序遍历

 1
 2
 3
 4
 5
 6
 7
 8
 9
10
11
12
13
14
15
16
17
18
19
20
21
22
23
24
25
26
vector<int> inorderTraversal(TreeNode* root) {
    if (root == nullptr)
        return {};

    vector<int> result;
    stack<TreeNode *> st;
    TreeNode *node = root;

    while(!st.empty() || node != nullptr)
    {
        if (node)
        {
            st.push(node);
            node = node->left;
        }
        else
        {
            node = st.top();
            st.pop();
            result.emplace_back(node->val);
            node = node->right;
        }
    }

    return result;
}

后序遍历

后序遍历中, 任一节点的前驱节点是它的右子节点, 如果右子节点不存在则是左子节点, 这即是lastnode存在的意义.

 1
 2
 3
 4
 5
 6
 7
 8
 9
10
11
12
13
14
15
16
17
18
19
20
21
22
23
24
25
26
27
28
29
30
31
32
33
34
vector<int> postorderTraversal(TreeNode* root) {
    if (root == nullptr)
        return {};

    vector<int> result;
    stack<TreeNode *> st;
    st.push(root);
    TreeNode *lastnode = root;

    while(!st.empty())
    {
        TreeNode *node = st.top();
        st.pop();

        bool is_leaf = (node->left == nullptr) && (node->right == nullptr);
        bool is_lastpre = (node->left == lastnode || node->right == lastnode);

        if (is_leaf || is_lastpre)
        {
            result.emplace_back(node->val);
            lastnode = node;
        }
        else
        {
            st.push(node);
            if (node->right)
                st.push(node->right);
            if (node->left)
                st.push(node->left);
        }
    }

    return result;
}

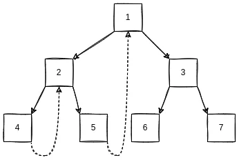
morris

morris的目标是将遍历的空间复杂度降低到O(1), 通过对本文提及的三种遍历方法的认识, 可以理解到, 其难点在于怎么回到"父节点"(这里的父节点相对广义, 也可以是祖父节点之类). 那么, morris的核心思想就是通过利用二叉树叶子节点的空闲指针帮助回到"父节点". 如下:

https://cdn.jsdelivr.net/gh/caibingcheng/caibingcheng.github.io@assets/static/images/62b87f351153c.webp
morris指针

利用左子树的最右侧叶子节点的右指针指向root节点, 在前序遍历和中序遍历的时候, 可以很方便的回到root节点.

比如前序遍历, 先做root节点, 然后做左子树, 左子树做完, 正好通过左子树的最右侧叶子节点的右指针回到了root节点(因为左子树的最右侧叶子节点是左子树最后一个被访问的节点), 此时可以做右子树.

又比如中序遍历, 然后做左子树, 左子树做完, 正好通过左子树的最右侧叶子节点的右指针回到了root节点(因为左子树的最右侧叶子节点是左子树最后一个被访问的节点), 然后做root节点, 接下来又方便的转移到右子树.

但是后序遍历则不这么直观, 因为root节点是在右子树做完之后才需要回去.

前序遍历

 1
 2
 3
 4
 5
 6
 7
 8
 9
10
11
12
13
14
15
16
17
18
19
20
21
22
23
24
25
26
27
28
29
30
31
32
33
34
vector<int> preorderTraversal(TreeNode* root) {
    if (root == nullptr)
        return {};

    vector<int> result;
    TreeNode *mostright = nullptr;
    while(root != nullptr)
    {
        if (root->left)
        {
            mostright = root->left;
            while(mostright->right != nullptr && mostright->right != root)
                mostright = mostright->right;
            if (mostright->right == nullptr)
            {
                mostright->right = root;
                result.emplace_back(root->val);
                root = root->left;
            }
            else
            {
                mostright->right = nullptr;
                root = root->right;
            }
        }
        else
        {
            result.emplace_back(root->val);
            root = root->right;
        }
    }

    return result;
}

中序遍历

 1
 2
 3
 4
 5
 6
 7
 8
 9
10
11
12
13
14
15
16
17
18
19
20
21
22
23
24
25
26
27
28
29
30
31
32
33
34
35
vector<int> inorderTraversal(TreeNode* root) {
    if (root == nullptr)
        return {};

    vector<int> result;
    TreeNode *mostright = nullptr;
    while(root != nullptr)
    {
        if (root->left)
        {
            mostright = root->left;
            while(mostright->right != nullptr && mostright->right != root)
                mostright = mostright->right;
            
            if (mostright->right == nullptr)
            {
                mostright->right = root;
                root = root->left;
            }
            else
            {
                result.emplace_back(root->val);
                mostright->right = nullptr;
                root = root->right;
            }
        }
        else
        {
            result.emplace_back(root->val);
            root = root->right;
        }
    }

    return result;
}

后序遍历

后序遍历就是"前序遍历"(中->右->左)的反转.

 1
 2
 3
 4
 5
 6
 7
 8
 9
10
11
12
13
14
15
16
17
18
19
20
21
22
23
24
25
26
27
28
29
30
31
32
33
34
35
vector<int> postorderTraversal(TreeNode* root) {
    if (root == nullptr)
        return {};

    vector<int> result;
    TreeNode *mostright = nullptr;
    while(root != nullptr)
    {
        if (root->right)
        {
            mostright = root->right;
            while(mostright->left != nullptr && mostright->left != root)
                mostright = mostright->left;
            if (mostright->left == nullptr)
            {
                mostright->left = root;
                result.emplace_back(root->val);
                root = root->right;
            }
            else
            {
                mostright->left = nullptr;
                root = root->left;
            }
        }
        else
        {
            result.emplace_back(root->val);
            root = root->left;
        }
    }

    reverse(result.begin(), result.end());
    return result;
}